Post

Stocks For The Long Run

将你的预期与收益率的历史水平保持一致,在过去的两个世纪中,剔除通货膨胀因素以后的股票收益率介于6%~7%,平均市盈率大约为15倍。

即使购买普通股的根本动机属于纯粹的投机性贪婪,人类的本性也会为这一令人讨厌的动机蒙上一层逻辑与理性的面纱。 ——本杰明·格雷厄姆、戴维·多德

从长期来看,那些习惯于以超过16倍市盈率的价格购买普通股的投资者将损失惨重。 - 《证券分析》

通过数代人的节制,股票市场有将1美元转化为上百万美元的魔力,但极少有人能耐得住寂寞,坐得住冷板凳。

对投资者来说,随大流是最不可取的。这样做只会让他们在经济繁荣时高价买入,而在经济衰退时低价抛出。

要在长期内成为一名成功的投资者,理论上很容易,实际操作起来很困难。

说它实际操作起来很困难,是因为我们的行为很容易受情绪左右,误入歧途。那些在股市上一夜暴富的投资神话往往会诱使我们背离长期投资的初衷。

20世纪80年代之前,价值型股票通常也被称为周期型股票 (cyclical stocks),因为低市盈率股票通常会出现在股票利润与经济周期紧密相连的那些行业中。

价值型股票通常出现在如下行业中:石油业、汽车业、金融业与公共事业,投资者对这些行业的未来增长预期值较低,或是认为这些行业的利润与经济周期联系紧密;而成长型股票通常出现在科技业、名牌消费品行业及医疗健康行业中,这些行业对经济周期具有较强的抵抗性,而投资者对这些行业增长速度的预期也比较高。

在选择成长型股票与价值型股票时,投资者应当谨记,这类叫法与公司生产的产品及所在行业无关。决定股票属性的本质属性在于该股票相对于企业价值的某些基本面指标(如盈利或股息等)的市场价值。

实际上,1987~2012年这段时期里,我们所做的研究表明,账面价值对收益率的解释力没有股息收益率、市盈率及现金流那么强。鉴于知识产权对于一家公司价值的增值作用越来越重要,账面价值在预测公司的未来价值方面存在不少缺陷。

黄金的年平均真实收益率只有0.7%。从长期来看,黄金的价格一直高于通货膨胀率,但只是略高一点。

如果主要的金融机构没有在其资产负债表上积聚了大量的房地产抵押贷款支撑证券的话,房地产价格的涨跌及相关的抵押贷款支撑证券自身是不太可能导致金融危机或经济严重衰退的。

说老实话,世界上有哪种投资能做到包赚不赔?……本书的每一位读者都心知肚明,债券投资者实际上是对价格总水平或货币的购买力进行投机。 ——欧文·费雪

股息收益率最高的投资组合为投资者提供的总收益率高于股息收益率最低的投资组合。

罗杰·伊博森与其他学者已经证明,流动性低的股票的收益率显著高于流动性高的股票。

1802~2012年的全部时期内,美国经历了47次经济衰退,这些衰退平均历时近19个月,而扩张期平均为34个月。这意味着,在这210年中,经济在1/3以上的时间里一直处于衰退中。

不管是在战争时期还是在和平年代,股市的名义收益率几乎都差不多。然而,战争年代的通货膨胀率平均为6%,在和平年代则平均不到2%。

全世界的中央银行都以保持低通胀为己任,而且他们大多数都成功了。

菲利普莫里斯公司在过去半个世纪中的年平均收益率为19.47%,这几乎是标准普尔500指数10.07%年收益率的两倍。

2010年,在面临“你认为你孩子的生活水平会超过你么”这个问题时,只有不到一半的美国人给出了肯定的回答。

(美国股票、债券、短期国债、黄金及美元在1802~2012年的真实总收益) (各资产在1802~2012年的总体名义收益率与通货膨胀率) (美国与英国的消费物价指数) (股票、债券与短期国债在1年期、2年期、5年期、10年期、20年期与30年期的持有期内所提供的最高实际年收益率与最低实际年收益率(1802~2012年)) (债券与股票的实际收益率在各个不同的历史时期内的相关系数) (标准普尔500指数中各行业的市值占指数总市值的比重(1957~2012年)) (标准普尔500指数成份股公司的利润率(1967~2012年)) (标准普尔500指数成份股按股息收益率排序(1957~2012年)) (标准普尔500指数与道琼斯工业指数及其股息收益率最高10只股票的收益率(1957~2012年)) (标准普尔500指数成份股按市盈率排序(1957~2012年)) (标准普尔500指数成份股按市盈率排序(1957~2012年)) (近9000只IPO股票在买入并持有策略下的收益率(1968~2001年)) (国际股票在1970~2012年以美元计值的收益与风险) (股票价格与经济周期的波谷(1948~2012年)) (波动率指数(VIX)(1986~2012年))

在我所研究的210年股票收益率中,一个充分分散的股票投资组合的年平均真实收益率为6.6%。这意味着,平均而言,在过去的两个世纪里,一个分散化了的股票投资组合(如指数基金)的购买力大约每隔10年就翻一番。而固定收益投资的真实平均收益率则大为逊色:长期政府债券的年平均真实收益率为3.6%,而短期债券的年平均收益率则只有2.7%。

黄金的年平均真实收益率只有0.7%。从长期来看,黄金的价格一直高于通货膨胀率,但只是略高一点。

自1802年以来,美元的购买力平均每年下跌1.4%,但自二战以来,美元的贬值速度开始大幅增加。

当科技支出出人意料的放缓时,泡沫破灭了,一轮恐怖的熊市开始了。股票市值狂泻90000亿美元,标准普尔500指数下跌了49.15%,已经超过了1972~1974年熊市期间48.2%的跌幅,是自大萧条以来最惨重的一次下跌。纳斯达克指数下跌78%,网络股指数的跌幅超过了95%。

美联储实施了强有力的刺激方案,以防止危机再度出现。但是,雷曼兄弟公司破产事件导致的信贷市场恶化让全球经济极度萎缩,也让股票价格经历了大萧条以来的最大跌幅。

2008年金融危机的主要成因在于次级贷款的快速增长,还有那些特大型的、高负债率的金融机构的资产负债表上购置了各类房地产支撑证券。

许多寻求高收益的华尔街公司被抵押贷款证券AAA评级所吸引,踊跃买入这些证券。

作为一个对美国经济影响最大的政府官员,美联储主席艾伦·格林斯潘的表现尤为悲催,他没有警告公众房价空前高涨所引发的风险。格林斯潘本应意识到次级债务的膨胀及其对经济的潜在威胁,因为他的一位同事,美联储理事爱德华·格拉姆利克(Edward Gramlich)就次级债务工具的问题撰写了大量的文章,并在2007年7月出版了一本题为《次贷:美国最近的繁荣与萧条》(Subprime Mortgages:America’s Latest Boom and Bust)的书。

格林斯潘说道:“那些大银行在房价崩盘中未采取措施来保护股东权益,他们也没有使用金融衍生工具或信用违约互换来对其风险头寸进行对冲,我对此难以置信,深表震惊。”

长期利率的下跌、经济增速减缓所形成的驱动力、资金从股票向债券的转移、亚洲国家(尤其是中国)积聚的巨额外汇储备、次级贷款及零首付贷款的大规模膨胀等,这些因素在推动房地产价格方面的作用都远比格林斯潘及联邦公开市场委员会(Federal Open Market Committee)所确定的联邦基金利率重要得多。

如果主要的金融机构没有在其资产负债表上积聚了大量的房地产抵押贷款支撑证券的话,房地产价格的涨跌及相关的抵押贷款支撑证券自身是不太可能导致金融危机或经济严重衰退的。

到2007年第二季度,次级贷款、alt-A级贷款(信用评级略高于次级贷款)以及大额住房抵押贷款的总额已达2.8万亿美元。即使所有此类证券的价格归零,由此损失的市值也将低于科技股在7年前网络股泡沫破灭中损失的市值。

这两次危机之间的最大区别在于,当科技股泡沫见顶时,券商及投资银行并未持有过多注定崩盘的投机性股票。

与之形成鲜明对比的是,在房地产市场见顶时,华尔街正深陷于房债危机的泥潭中。

借贷是生命之源,是全部大型经济体的润滑油。

只有一家机构可以在金融危机爆发时提供如此多的流动性,这就是中央银行,一名19世纪的英国记者沃尔特·白芝霍特(Walter Bagehot)将该机构称为“最后的贷款人”。

美联储与伯南克主席为何会采取如此多的大胆行动,来保证私营部门的流动性呢?因为伯南克与其他经济学家已经从历史中汲取了教训,他们今天做的,就是中央银行在大萧条中所没有做过的。

金融危机还打破了格林斯潘在美联储主席任期中创造的神话,即美联储可以对经济进行微调,消除经济周期。

信贷危机让房地产价格暴跌,股票市场随之崩盘,从而引发了发达国家自二战以来的最严重的一次经济衰退。

尽管这次危机源于美国,但美国在各发达国家中GDP跌幅最低。日本的产出跌幅为9.4%,欧元区跌幅为5.5%,欧洲最大的经济体,德国的跌幅为6.8%。加拿大的银行从未像美国那样在房地产类资产上承担过高的杠杆,其跌幅较小。

截至2010年3月,消费物价指数已然超越危机前的高点,而大萧条之后,消费价格用了整整14年才恢复到1929年的水平。

通货紧缩恶化了经济周期,因为工资与价格的下跌增加了债务负担,而债务的实际价值又因价格的下跌而进一步增加。

美联储在初期即提供流动性的做法对于稳定金融市场,防止经济大幅下滑是至关重要的。

随着金融危机的进一步加剧,美元重新赢回“避风港”地位,国外投资者纷纷将资金转为美元资产。这也让美元与发达国家货币间的汇率上涨26%,并于2009年3月4日创下危机后的新高,而美国股市的熊市也于一个周以后见底。

在金融危机期间,只有日元兑美元的汇率上涨,因为市场骚动让投资者大肆进行“套利交易”,即以世界上最低的利率借入日元并将其投资于其他风险较高的高收益货币。

自2008年以来,金融与商品市场遭受的大多数冲击都属于全球性的,那些只能影响一国或一个市场的特殊类型的冲击已不复存在。

不但股票市场之间的相关性在增加,股票市场与商品市场(以CRB商品价格指数或石油价格表示)之间的相关性自金融危机以来也显著增加。

2010年,在面临“你认为你孩子的生活水平会超过你么”这个问题时,只有不到一半的美国人给出了肯定的回答。在美国的全部历史中,生活水准步步高升是美国家庭的核心信仰,也是激励成百上千万移民来到美国的原动力,但这一信心如今已逐渐减弱。

退休人数的增加让卖者的人数超过买者,这会大幅压低资产的价格。

有些经济学家,如美国西北大学的罗伯特·戈登教授,认为美国生产率的增长速度即将大幅下跌。他认为,在所有这些因素中,人口老龄化、收入不平等的增加、教育成果徘徊不前等是下跌的主要原因。除了收入分配中最高的1%以外,戈登预测美国人口中绝大部分的年增长率将只有0.5%

泰勒·格文(Tyler Cowen)是乔治·梅森大学(George Mason University)的一位经济学教授,他也是《大停滞》(The Great Stagnation)一书的作者,格文表示,发达国家正处于技术发展的瓶颈期,所有的肉都被啃完,只剩下硬骨头了。

贝宝公司(PayPal)的创始人彼得·泰尔(Peter Thiel)认为,美国的创新“已濒临绝境”

这一悲观的论点也蔓延至投资领域。比尔·格罗斯(Bill Gross)与穆罕默德·埃尔–埃里安(Mohammed El-Erian)是投资业巨头太平洋投资管理公司(PIMCO)的联合总裁,他们在2009年杜撰了一个名词:新常态 (new normal),用以说明美国的经济增长率将下跌至1%~2%这样一种状态,远低于3%以上的二战后平均水平。其他投资经理也持相同观点。

几乎没有人在长期的财富积累过程中从不消耗其所获收益。

通过数代人的节制,股票市场有将1美元转化为上百万美元的魔力,但极少有人能耐得住寂寞,坐得住冷板凳。

美国及其他发达国家在二战后经历的这一慢性通货膨胀并不意味着金本位制度优于纸币本位制度。金本位制度被抛弃,是因为它在面临着经济危机的不灵活性,尤其是20世纪30年代银行崩盘这样的经济危机。

1802~2012年经通货膨胀调整后,股票的真实年复合平均收益率大约是6.6%。

有些人认为这一收益率是不可持续的,因为这一收益率几乎是实际GDP(3%~3.5%)的两倍。但这种看法是错误的。即使经济完全不增长了,资本收益率也将为正,因为资本是一种稀缺资源,就像劳动力要获得正的工资,土地要获得正的租金一样。

说老实话,世界上有哪种投资能做到包赚不赔?……本书的每一位读者都心知肚明,债券投资者实际上是对价格总水平或货币的购买力进行投机。 ——欧文·费雪

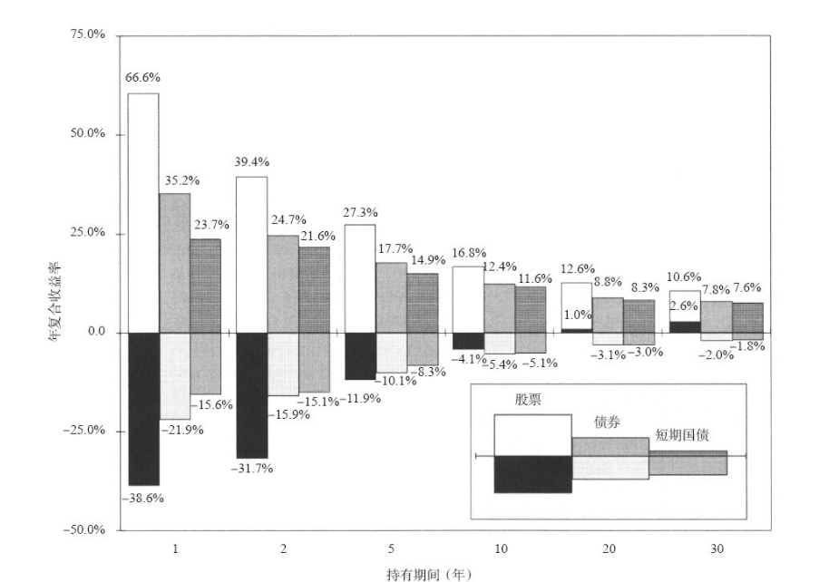
尽管股票对债券的压倒性优势在长期数据中非常明显,值得注意的是,对持有期在1年与2年的股票而言,其收益率在5年中大约只有3年超过债券或短期国债的收益率。这意味着,每5年中将近有2年的时间,股票投资者的收益率会低于短期国债或银行定期存款的收益率。

股票在短期内的风险大于固定收益资产。但历史已经证明,对那些目标在于保证其财富购买力的长期投资者来说,股票在长期内的风险实际是小于债券的。

从长期来看,市场大盘的涨跌与投资者收益的涨跌不一定相关。

菲利普莫里斯公司在过去半个世纪中的年平均收益率为19.47%,这几乎是标准普尔500指数10.07%年收益率的两倍。

菲利普莫里斯公司不止让持有该公司股票的投资者受益,它还兼并了10多家标准普尔500指数的原始成份股公司。许多投资者因其持有的股票被菲利普莫里斯公司兼并而大赚一笔。

价值投资者知道,成长型股票的定价通常过高,对前景的过度乐观经常会让投资者支付较高的价格。而那些没有引起投资者注意的赚钱公司的股价往往被低估。如果投资者将股息再投资到这些公司上,他们买入的是价值低估的股票,这会让其收益大幅增加。

尽管许多表现卓越的公司品牌在50年中并未发生变化,但大多数公司的业务范围已经遍及全世界。像亨氏番茄酱、可口可乐、百事可乐及爱心糖果等品牌一如既往地为公司带来丰厚利润,有些品牌已经有上百年的历史。

营业利润这一术语不是由财务会计标准委员会定义的,这也让公司在解释这一概念的涵盖范围上具有较大的灵活性。在很多情况下,对同一项类型的费用,有的公司会将其纳入到营业利润中,而有些公司则会将其排除在外。

即使购买普通股的根本动机属于纯粹的投机性贪婪,人类的本性也会为这一令人讨厌的动机蒙上一层逻辑与理性的面纱。 ——本杰明·格雷厄姆、戴维·多德

固定收益资产的实际收益率在过去10年中大幅下跌。当10年期通胀保值债券在1997年1月发行时,其实际收益率接近3.5%,在接下来的一年里,该债券的收益率升至4%以上。但是,自那时起,这些债券的实际收益率开始稳步下降,在2011年降为负值,并在2012年年底跌至-1%。这意味着标准国债的实际收益率也跌至零附近。

得益于前人所做的研究成果,随着普通股高收益性的广泛传播,股票在未来获得高收益的可能性也随之下降,

了解这一信息的人越多,人们在购买股票时的竞价行为就会将股票价格推高,人们获得高收益的几率也就越小。

在进行证券分析时,我们不能自行制定一套适用于所有普通股的“正确的估值规则”……普通股的价格不能通过精确计算得到,而是人类一系列行为间相互作用的结果。 ——本杰明·格雷厄姆、戴维·多德

我们将那些股价低于基本面的股票称为价值型 (value)股票,而将那些股价高于基本面的股票称为成长型 (growth)股票。20世纪80年代之前,价值型股票通常也被称为周期型股票 (cyclical stocks),因为低市盈率股票通常会出现在股票利润与经济周期紧密相连的那些行业中。

价值型股票通常出现在如下行业中:石油业、汽车业、金融业与公共事业,投资者对这些行业的未来增长预期值较低,或是认为这些行业的利润与经济周期联系紧密;而成长型股票通常出现在科技业、名牌消费品行业及医疗健康行业中,这些行业对经济周期具有较强的抵抗性,而投资者对这些行业增长速度的预期也比较高。

股息收益率最高的投资组合为投资者提供的总收益率高于股息收益率最低的投资组合。如果一个投资者在1957年年末将1000美元投资于标准普尔500指数基金中,到2012年年末,这笔资金将积累到201760美元,年收益率达10.13%。如果将这1000美元投资在100只股息收益率最高的股票上,这笔资金将累积到678000美元,年收益率达12.58%。

自标准普尔500指数于1957年成立以来,该指数中股息收益率最高的100只股票的年均收益率比有效市场模型预测的数值高出3.42个百分点,而100只股息收益率最低的股票的年均收益率比有效市场模型的预测值低2.58%。

有一种名叫“道指狗股”(Dogs of the Dow)(也叫“道指10股”)的策略非常出名,该策略主要是从道琼斯工业平均指数中选取高股息收益率的股票。

这一投资策略要求投资者在每年年末买入道琼斯工业平均指数中股息收益率最高的10只股票,持有至下一年年末,并在每年的12月31日重复这一过程。这些高股息收益率股票通常是那些股价持续下跌、不受投资者青睐的股票,这也是该策略通常被称为道指狗股的原因。

桑杰·巴苏(Sanjoy Basu)发现,即便是剔除了风险因素,低市盈率股票的收益率也明显比高市盈率股票的收益率高。

《证券分析》一书中,他们这样说道: 我们因此可以得出一个非常现实的结论:从长期来看,那些习惯于以超过16倍市盈率的价格购买普通股的投资者将损失惨重。

平均而言,高市盈率(或低净收益率)的股票估值过高,持有该类股票的投资者收益较低。

格雷厄姆与多德认为,在买卖某只股票之前,公众至少应该关注一下其账面价值……如果股票投资者足够聪明的话,他至少应该搞清楚如下几点:首先,它为这家企业实际支付的价值是多少;其次,他付出的资金都购买了哪些有形资产。

实际上,1987~2012年这段时期里,我们所做的研究表明,账面价值对收益率的解释力没有股息收益率、市盈率及现金流那么强。鉴于知识产权对于一家公司价值的增值作用越来越重要,账面价值在预测公司的未来价值方面存在不少缺陷。

即使是1986年这样一个丰收年,微软公司、甲骨文公司、Adobe公司、EMC公司以及太阳微系统公司在这一年中悉数登场,并在其后的16年中创下了年均收益率30%以上的骄人战绩,但包含了该年所有IPO股票的投资组合的收益率也只是与小盘股投资组合的表现勉强持平。

在选择成长型股票与价值型股票时,投资者应当谨记,这类叫法与公司生产的产品及所在行业无关。决定股票属性的本质属性在于该股票相对于企业价值的某些基本面指标(如盈利或股息等)的市场价值。

人们往往会认为一家位于高科技行业的公司具有高速成长的潜力,但是,如果该公司失去投资者的宠爱,以低于其基本面的价格出售,该股票实际应被划为价值型股票。

实际上,随着时间的推移,许多股票甚至行业都会因为其市场价格的波动而不断在价值型与成长型之间来回转换。

罗杰·伊博森与其他学者已经证明,流动性低的股票的收益率显著高于流动性高的股票。

在对纽约证券交易所、美国证券交易所及纳斯达克市场全部上市股票从1972年至今的收益率进行分析之后,他们发现,对那些换手率处于最低的4分位分组(最低的25%)中的股票来说,其年复合平均收益率为14.74%,这一数值几乎是换手率最高的4分位分组中股票收益率的两倍。

许多大型的共同基金无法购买大量交投清淡的股票,因为这会迅速拉升这些股票的价格,从而使这些股票的收益率不再具有吸引力。

随着时间的推移,高股息收益率、低市盈率及低流动性股票投资组合的收益率会超过有效市场假说的预测水平。

投资者应该清楚,没有哪一种策略可以永远战胜市场。小盘股表现出的周期性繁荣可以让其长期业绩优于大盘股,但在大多数时候,它们的表现只是勉强与大盘股相抗衡。此外,价值型股票一般在熊市中的表现优异,但在最近的一次衰退中,拜金融危机所赐,价值型股票的业绩输给了成长型股票。这意味着,如果投资者决定购买这些收益增强型股票,那就必须保持足够的耐心。

在过去的60年间,是什么原因导致通货膨胀在美国成为司空见惯的事情呢?答案很简单:货币控制的主导权已经从黄金转向政府。伴随着这一转变,政府总是能够提供充分的流动性,从而保持价格不会下跌。

对通货膨胀过程的经典描述:“过多的货币追逐过少的商品”,在今天的社会中显得尤为适用。

美联储(及其他中央银行)在金融危机之后注入的天量货币为何没有演变为通货膨胀呢?在其著作《美国货币史 》(The Monetary History of the United States)一书中,米尔顿·弗里德曼证明了,与通货膨胀联系紧密的是M2(银行存款加上现金),而不是基础货币(银行准备金与现金之和)。2007~2013年,美国的基础货币增长了3倍,但所有增加的基础货币都转变为银行体系的超额准备金,这些准备金并未被贷放出去,因此也就没有创造出新的准备金来。

美联储买入及卖出政府债券的过程也被称为公开市场操作 (open market operations)。

联邦基金利率构成了其他全部短期利率的锚。这些利率包括最优惠利率,即大多数消费者借贷的基准利率;LIBOR利率,这是短期商业借贷的基础利率;还有短期国债的利率。联邦基金利率几乎是数万亿美元贷款及证券的基准利率。

利率对股票价格有着极其重要的影响力,这是因为我们要用利率对股票未来的现金流进行折现。

鉴于货币政策对股票价格影响极大,对接下来的中央银行政策进行合理的预测将为投资者提供超额回报。

从长期来看,股票绝对是最好的通货膨胀套期保值工具,债券则做不到这一点。如果你担心恶性通货膨胀,股票也是最好的金融资产,因为许多高通货膨胀国家的股市即使不是非常繁荣,却也过得不错。

全世界的中央银行都以保持低通胀为己任,而且他们大多数都成功了。但是,如果通货膨胀再度抬头,投资者最好是选择股票,而不是债券。

股票市场在最近五次经济衰退中预测对了九次。 ——保罗·萨缪尔森

我也想对市场及衰退进行预测,但既然这是不可能的,如果能像巴菲特那样成功选出赚钱公司的话,我也就心满意足了。 ——彼得·林奇

股市与经济的步调通常不一致。

要想通过预测经济周期赚钱,你必须在经济周期真正出现之前确定经济活动的高峰和低谷,很少有经济学家具有这样的技能。

1802~2012年的全部时期内,美国经历了47次经济衰退,这些衰退平均历时近19个月,而扩张期平均为34个月。这意味着,在这210年中,经济在1/3以上的时间里一直处于衰退中。

自二战以来,美国已经经历了11次经济衰退,平均历时11.1个月,而扩张期的平均值为58.4个月。

股市回升与经济复苏之间的平均时间间隔为4.6个月,在11次经济衰退中,有8次衰退的时间间隔位于4~6个月的极度狭窄范围内。与之相比,股市峰顶与经济周期峰顶之间的平均时间间隔为5.4个月。

当经济衰退已近尾声时,股市平均涨幅为23.8%。因此,如果一个投资者要等到经济周期触底时才调整投资策略,他将错过大好的投资机会。

如果一个投资者在经济衰退开始前的4个月将股票变现(或转为短期债券),然后在经济衰退结束前4个月再转换回股票,与执行买入并持有策略的投资者相比,他每年的风险调整后收益将高出近5个百分点。

对那些仅仅根据NBER确定的经济衰退起止点(远远落后于实际发生时间)而在股票与债券之间进行转换的投资者来说,他们的收益率只比执行买入并持有策略的投资者高0.5%。

对投资者来说,随大流是最不可取的。这样做只会让他们在经济繁荣时高价买入,而在经济衰退时低价抛出。

我能预测天体的运行规律,却无法预测人类的愚蠢行为。 ——艾萨克·牛顿

自1885年道琼斯工业平均指数首次发布以来,该指数变动幅度超过5%以上的次数有145天。其中有15次发生在2008年9月~2009年3月的全球金融危机期间

在这145次市场的重大变动中,只有30次变动伴随着明确的重大世界性政治或经济事件,如战争、政局的变化或政府政策的变动。在2008年金融危机期间及其后的15次重大市场变动中,只有4次与具体的事件有关。自1885年以来,与具体的世界性事件有明确联系的重大市场变动不到1/4。

确定导致市场变动的基本原因是非常困难的。

总的来说,两党执政下的实际收益率几乎没什么区别。

自1885年以来,美国经济大约有1/5的时间处于战争中,或者在世界大战中坐山观虎斗。不管是在战争时期还是在和平年代,股市的名义收益率几乎都差不多。然而,战争年代的通货膨胀率平均为6%,在和平年代则平均不到2%。因此,和平年代的股票实际收益率明显高于战争时期。

尽管股票在和平年代的收益率更高,但以道琼斯工业指数月度标准差测算,股票市场在和平年代的波动幅度要大于战争时期。美国股市波动幅度最大的几次分别是在二战前(20世纪20年代末与30年代初)与最近的金融危机(2008~2009年)中。只有在一战和短暂的海湾战争中,股市的波动幅度高于历史平均水平。

二战后,德国与日本的经济快速恢复,股市也随之繁荣。

由重大政治事件或经济事件引起的市场变动只有不到1/4,这证明了市场的不可预测性,也说明预测市场变动十分困难。

市场不是直接对公告作出反应,而是对交易者预期 发生事件与实际 发生事件之间的差异作出反应。这一财经新闻是好消息还是坏消息都无所谓。如果市场预期上个月的失业人数为200000,但报告显示世纪失业人数只有100000,则金融市场会认为该新闻“强于预期”(利好消息)

许多市场只对预期值与实际值之间的差异作出反应,原因在于证券价格已经将全部预期信息包含在内了。如果投资者预期一家公司利润会下降,市场就会将这一利空消息纳入到证券价格中。如果实际的报告利润没有预想的那么差,股价在公告时就会上涨。同样的规律也适用于债券与外汇的价格对经济数据的反应。

经济增长超出预期,则长期利率与短期利率都会上升;经济增长低于预期,则长期利率与短期利率都会下降。

许多股票交易者根据债券市场的变化指导自己的交易行为。

期货交易的历史已经有几百年了。期货这一概念源自一种承诺,即在未来某个时间,以某一特定价格买入或卖出某种商品的承诺。

从卖者的角度来看,标准普尔500指数期货承诺在未来的某一时刻卖出标准普尔500指数价值固定倍数的股票;从买方的角度看,标准普尔500指数期货合约承诺在未来某一时刻买入标准普尔500指数价值固定倍数的股票。

标准普尔500指数期货的倍数为250倍,因此,如果标准普尔500指数为1700点,这份期货合约的价值为425000美元。

在股指期货到期时,股指期货会对股票价格产生一些微妙的影响。

“危机”一词在中文中有两种含义:一表示危险……二表示机遇。

尽管大多数投资者都讨厌市场波动性,但市场波动性是股票超额收益的源泉。

在短期内,VIX指数与股市价格水平之间呈现出很强的负相关性。

希勒发现,股息收益和利率的表现几乎无法解释股价的变化。股票价格往往存在着对股息变化的过度反应,许多投资者没有意识到大多数股息支付的变化只是暂时的。

大多数经济学家仍然对图表分析师的基本原则(股票价格走势是可以预测的)嗤之以鼻。对这些学术研究人员来讲,股市未来的价格走势很难预测,而是更符合一种名为随机游走 (random walk)的模式。

麦考林发现,股市的波动曲线与通过掷骰子得到的概率分布图表这二者之间存在着惊人的相似之处。

2001~2012年,即使包含了交易成本,买入并持有投资策略的年收益率仍比市场择时策略的年收益率高出两个百分点。

理性人就像尼斯湖水怪一样,常有人看到它,但从来没人拍下照片。 ——大卫·德雷曼

市场在看起来最有希望时最危险,在看起来最危险时最有希望。 ——弗兰克J.威廉姆斯

当机构投资者实际就代表大盘时,他们又怎么能战胜大盘呢? ——查尔斯D.埃利斯

从1971年1月到2012年12月,美国股票基金的年平均收益率为9.23%,比威尔希尔5000指数低1%,落后于标准普尔500指数0.88个百分点。

实际上,存活基金的年收益率比威尔希尔5000指数高0.25%,但1000个基金中只有86只这样的基金。在扣除了销售及赎回费用之后,这些基金为投资者提供的净收益就更少了。

沃伦巴菲特创下了超额收益的最高纪录

1972~2012年,巴菲特实现的年收益率高达20.1%,这一收益率比标准普尔500指数高出10%。

有趣的是,与那些没有任何投资知识,因此决定将投资组合盯住某只指数的投资者相比,那些对股票估值原理略通一二的投资者的业绩往往更差。

投资老手通过专业投资知识获取高收益。而这些收益恰恰来自那些自以为能战胜市场的交易新手。

“一知半解最危险”,这句谚语用在金融市场上真是再合适不过了。

当某只股票的价格看起来畸高或畸低时,那种简单的解释(如投资者情绪激动,或是无知的交易者对股票的错误定价等)往往是错误的。股票的定价在大多数时间都是合理的。

与标准普尔500指数连接基金可能在将来给投资者带来麻烦。原因很简单:如果一家公司被纳入标准普尔500指数之中,由于投资者预期指数基金将买入该股票,股票价格会因此而上涨,从而导致指数基金持有大量估值过高的股票,这会降低其未来的收益。

从股票被纳入指数的公布日到正式实施,股价的平均涨幅为8.49%。 16 但是在正式纳入指数后的10天内,这些股票的跌幅达3.23%

在公司公告股票被纳入标准普尔500指数一年后,公告后产生的损失已完全得到补偿,新纳入指数股票的平均涨幅达8.98%。

由于运气在成功的投资案例中起到一定作用,要判断一个基金经理人是否优秀,难度极大。

如果我们将交易成本考虑在内,大部分主动管理型股票基金的表现明显落后于基准指数。

要在长期内成为一名成功的投资者,理论上很容易,实际操作起来很困难。

说它实际操作起来很困难,是因为我们的行为很容易受情绪左右,误入歧途。那些在股市上一夜暴富的投资神话往往会诱使我们背离长期投资的初衷。

选择性记忆也会让我们走入歧途。那些紧盯市场的人经常宣称:“我就知道股票(或股市)正在上涨!如果当时按照我自己的判断操作的话,我早就发大财了!”但事后诸葛亮只会让我们头脑发昏。我们早就忘记了决策时的首鼠两端。

老当事后诸葛亮只会让我们过去的经验变得更加扭曲,影响我们的判断力,我们因此更加依靠直觉行事,试图战胜其他投资者

市场下跌时情绪低落,市场上涨时信心爆棚。误入歧途的结果是极低的收益率,甚至比我们在市场上什么都不做还低。

成功投资指南

要实现股票的高收益率,投资者需要坚持长期投资并制定严格的投资策略。

将你的预期与收益率的历史水平保持一致,在过去的两个世纪中,剔除通货膨胀因素以后的股票收益率介于6%~7%,平均市盈率大约为15倍。

6.5%的年实际收益率(包括了股息再投资)会让你的投资组合的购买力每隔10年翻一番。如果通货膨胀率保持在2%~3%,股票的年名义收益率接近9%,这会让你的投资组合的名义价值每隔8年翻一番。

至少将股票投资组合中1/3的资金投资于国际股票:总部设在美国以外的公司发行的股票。高成长国家的股票价格通常被高估,投资者只能获得较低的收益。

从历史上看,与成长性股票相比,那些低市盈率、高股息的价值型股票的业绩更好,风险也更低。按照价值型投资策略构建投资组合:买入价值型股票指数投资组合,或是持有基本加权型指数基金。

在过去的50年中,低市盈率、高股息收益率的股票业绩都战胜了大盘,而且这类股票的风险也较低。

那些价格低于基本价值的股票更有可能为投资者提供较高的收益率及较低的风险。

通过制定严格的投资规则来确保自己的投资组合步入正轨,尤其是当你发现自己时常被情绪所左右的时候。

投资者的情绪波动经常使股票价格偏离其基本价值。人们很难在所有人都看多时经受住买入股票的诱惑,也难以在所有人都看空时抑制住卖出的冲动。因此,在股市整体氛围的包围下,投资者很难做到心如止水,但许多频繁交易的投资者的收益往往不佳。

第一个陷阱是为了战胜大盘而频繁交易。许多投资者总认为有些股票的价格会在未来1年内涨一倍甚至两倍,股票9%的年均收益率可能已经入不了他的法眼了。

人类本能让许多投资者在市场暴跌时感到无比恐惧,而在市场暴涨时又变得十分贪婪。

当我们听到周围的大多数人(包括一些德高望重的“专家”)都在建议投资者尽快退出市场时,要坚持原有的投资计划是很难的事情。

随大流远比特立独行容易得多。正如凯恩斯在《就业、利息和货币通论》一书中所说的那样:“世俗的智慧教导我们,以常规的方式失败,比以非常规的方式成功,对声誉更为有利。”

制定一个适当的投资策略不但是一次智力上的挑战,也是一次心理上的挑战。

股票是长期内积累财富的最佳方式,这是本书提出的主要观点。

This post is licensed under CC BY 4.0 by the author.